Measuring Elasticity : Arc Elasticity of Demand
Learning
Contents:
·
Introduction
to Arc Elasticity of Demand
·
Arc
Elasticity of Demand is an improvement over the Proportionate method
·
Practical
Problems Based on Arc Elasticity of Demand
·
Difference
between Proportionate method and Arc Elasticity Method
Introduction
to Arc Elasticity of Demand (Midpoint method)
Arc elasticity of
demand measures the elasticity between two price (or two points on the demand
curve) using the midpoint between the two curves. This method uses the average
of both price and both quantity in the denominator (base) for finding the
elasticity unlike the proportionate method that uses the initial price and
initial quantity in the denominator (base). Therefore, when using arc elasticity,
we need not be worried about which point is the starting point and which
point is the ending point since it gives the same results whether price rises
or falls. The formula used to calculate the arc elasticity of demand is given
below:
Here,
P1= Original
Price
P2= New
Price
Q1= Original
Quantity
Q2= New Quantity
Note: When calculating the elasticity using the arc method, we must ignore the negative sign.
Arc
Elasticity of Demand is an improvement over the Proportionate method
In the case of proportionate
method, the elasticity of demand may vary either we move up and down the
demand curve as initial price or initial quantity will be different in both
cases while calculating the percentage change. In other words, it is not clear
that which price and quantity to be taken or used as base?
In the case of Arc
Elasticity, the value of elasticity of demand comes out to be the same as we
consider the average of both price and both quantities in the base instead of
initial price and quantity.
The calculation shows
how the value of elasticity of demand is different in both methods. Let’s
understand with the help of a given example.
Using
Proportionate Method
Case
1:
Calculating Price Elasticity when the price
of a newspaper increased from ₹ 2 to ₹ 4 and its daily sales decreased from 10
million units to 8 million units. Assuming the initial price is ₹2 and the initial
quantity is 10 million units and movement on the demand curve is from point B to A.
The value of elasticity of demand will be calculated as follows:
The following
information is given
P= ₹2
Q= 10 million
P1= ₹4 Q1= 8 million
ΔQ =Q1-Q =
8-10 = -2
ΔP =P1-P = 4-2 = 2
Plugging these numbers into the formula,
Case
2:
Calculating price elasticity if the price had fallen from₹ 4 to ₹ 2 and sales increased
from 8 million to 10 million units. Assuming now the initial price is ₹4 and
initial quantity is 8 million units and movement on the demand curve is from point A
to B. The value of elasticity of demand is calculated as follows:
When
the price movement is opposite,
P= ₹4
Q= 8 million
P1= ₹2 Q1= 10 million
ΔQ =Q1-Q =
10-8 = 2
ΔP =P1-P =
2-4 = -2
Plugging these numbers
into the formula,
Using
Arc Elasticity Method
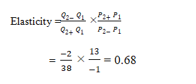
If the price of a
newspaper rose from ₹ 2 to ₹ 4 and its daily sales fell from 10 million units
to 8 million units. What is the price elasticity of demand?
The following
information is given
P1= ₹2 Q1= 10 million
P2= ₹4 Q2=
8 million
Plugging these numbers
into the formula,
Interpretation:
When using
proportionate method, the value of elasticity comes out to be different in both
cases due to change in initial price and initial quantity in base (denominator).
Therefore, this method is less reliable.
When using Arc
Elasticity method, the value of elasticity comes out to be the same as we have
taken the average of both prices and quantities in base (denominator).
Therefore, this method is more reliable.
Practical
Problems Based on Arc Elasticity of Demand
1.If
the price of good decreases from ₹500 to ₹400, leading to an increase in
quantity demanded from 100 to 150 units, then the price elasticity of demand
can be calculated as: (Use Arc Elasticity method)
Solution:
The following
information is given
P1=
₹500 Q1= ₹100
P2= ₹400 Q2= ₹150
Plugging these numbers
into the formula,
2.
If the price of good decreases from
₹10 to ₹8, leading to an increase in quantity demanded from 40 to 60 units,
then the price elasticity of demand can be calculated as: (Use Arc Elasticity
method)
Solution:
The following
information is given
P1= ₹10 Q1= ₹40
P2= ₹8 Q2= ₹60
Plugging these numbers
into the formula,
3.
If a coffee shop raises the price of its large cup of coffee from ₹60 to ₹100 and
quantity demanded falls from 700 cups to 100 cups a day, the price elasticity
of demand for coffee will be (Use Arc Elasticity method)
Solution:
The following
information is given
P1= ₹60 Q1= ₹700
P2=
₹100 Q2= ₹100
Plugging these numbers
into the formula,
4.
Suppose the price of movies seen at a theatre rises from ₹120 to ₹200 per
person. The theatre manager observes that the rise in price causes attendance
at a given movie to fall from 300 persons to 200 persons. What is the price
elasticity of demand for movies? (Use Arc Elasticity method)
Solution:
The following
information is given
P1=
₹120 Q1= ₹300
P2=
₹200 Q2= ₹200
Plugging these numbers
into the formula,
5.
Suppose a department store has a sale on its glass crockery. If the price of a
dinner set is reduced from ₹300 to ₹200 and the quantity demanded increases from
3000 units to 5000 units. What is the price elasticity of demand for dinner
set? (Use Arc Elasticity method)
Solution:
The following
information is given
P1= ₹300 Q1= ₹3000
P2=
₹200 Q2= ₹5000
Plugging these numbers
into the formula,
6. Suppose the price of toy decreases from ₹7 to ₹6. As a result, the quantity demanded increases from 18 to 20 units. What will be its price elasticity of demand? (Use Arc Elasticity method)
Solution:
The following
information is given
P1= ₹7 Q1= ₹18
P2= ₹6 Q2= ₹20
Plugging these numbers
into the formula,
Difference between Proportionate Elasticity
and Arc Elasticity
|
S.No. |
Proportionate
Elasticity |
Arc Elasticity |
|
1. |
It
measures elasticity at a particular point on the demand curve. |
It
measures elasticity between two points (or using midpoints) on the demand
curve. |
|
2 |
It
uses initial price and initial quantity in the denominator for measuring the
percent changes. |
It
uses the average price and average quantity in the denominator for measuring the
percent changes |
|
3. |
It
gives different values of elasticity whether price rises or falls. |
It
gives the same value of elasticity whether the price rises or falls. |
|
4. |
Proportionate
method is used when the price change is very small. |
Arc
elasticity method is used when the price change is very significant or
somewhat large. |
Let’s
try some questions
Choose
the Correct Answer
1. Which of the following describes best about Arc Elasticity of demand?
a. A
measure of elasticity of demand which involves an infinitely small change from
some initial price.
b.
A measure of elasticity of demand
that consider total expenditure
c.
A measure of average elasticity
over a range of the demand curve,
d.
None
of above.
2. Which among the following is not
correct about Arc Elasticity of Demand?
a. It is used when the price change is somewhat large.
b.
It considers average price and
average quantity as a base while calculating the elasticity
c.
It gives the different value of
elasticity whether price rises or falls
d.
None
of above.
3. If the price of a product changes from
₹7 to ₹9 and the quantity demanded changes from 50 to 40 units then the price
elasticity of demand using the midpoint approach is ________.
a. 0.89
b.
1.57
c.
0.80
d.
0.70
4. The price of a pen is ₹10, and the
quantity demanded is 5,000 units. When the price falls to ₹8, the quantity
demanded increases to 7,000 units. Based on this information and using the
midpoint method, the demand for Pen must be ________
a. Elastic
b.
Inelastic
c.
Unit-Elastic
d. None of the above.
Answer Key
|
1.c |
2.c |
|
3.a |
4.a |
Thanks & please
Share with your friends
Comment if you have
any questions.












Comments
Post a Comment